八年级【上册】赠送习题参考答案(00250FAL08003)(2)
| 摘要:数学 第十七章 因式分解 参考答案: 一、选择题 1-5.ADCAA6-10.DCBCC 二、填空题 三、解答题…… |
数学 第十七章 因式分解 参考答案:
一、选择题
1-5.A D C A A 6-10.D C B C C
二、填空题

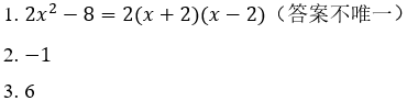
三、解答题




穿越到手机上阅读
● 编辑 : 娜娜 / 小威 / 沈晓沫
● 发布 : 晓沫 审核 : 朤朤 / 陌语
● 热线 : 158-1078-1908
● 邮箱: 770772751#qq.com (#改为@)




