九年级【上册】赠送习题参考答案(00250FAL09001)(2)
| 摘要:数学 第二十一章 二次方程 参考答案: 一、选择题 1.D2.D3.B4.B5.C6.A7.D8.D9.B10.D 11.B12.B13.D14.C15.D16.A17.A18.B19.B20.B 二、填空题 三、解答题…… |
数学 第二十一章 二次方程 参考答案:
一、选择题
1.D 2.D 3.B 4.B 5.C 6.A 7.D 8.D 9.B 10.D
11.B 12.B 13.D 14.C 15.D 16.A 17.A 18.B 19.B 20.B
二、填空题

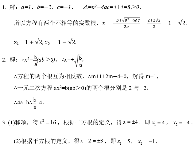
三、解答题



穿越到手机上阅读
● 编辑 : 娜娜 / 小威 / 沈晓沫
● 发布 : 晓沫 审核 : 朤朤 / 陌语
● 热线 : 158-1078-1908
● 邮箱: 770772751#qq.com (#改为@)




