六年级【上册】赠送习题参考答案(00250FAL06003)(4)
| 摘要:数学 第六单元百分数(一) 参考答案: 一、选择题 1-5.CBDCB6-9.ADDC 二、填空题 三、判断题 1-5.××××× 四、计算题 五、应用题…… |
数学 第六单元 百分数(一) 参考答案:
一、选择题
1-5.C B D C B 6-9.A D D C
二、填空题

三、判断题
1-5.× × × × ×
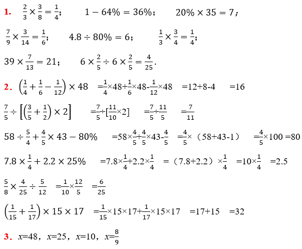
四、计算题

五、应用题

穿越到手机上阅读
● 编辑 : 娜娜 / 小威 / 沈晓沫
● 发布 : 晓沫 审核 : 朤朤 / 陌语
● 热线 : 158-1078-1908
● 邮箱: 770772751#qq.com (#改为@)




