六年级【上册】赠送习题参考答案(00250FAL06002)(4)
| 摘要:数学 第四单元比 参考答案: 一、选择题 1.C2.C3.C4.C5.C6.D7.C8.A 二、填空题 三、判断题 21.×22.×23.×24.√25.×26.× 四、计算题 27. 五、应用题 28.解:30÷3=1…… |
数学 第四单元 比 参考答案:
一、选择题
1.C 2.C 3.C 4.C 5.C 6.D 7.C 8.A
二、填空题

三、判断题
21.× 22.× 23.× 24.√ 25.× 26.×
四、计算题
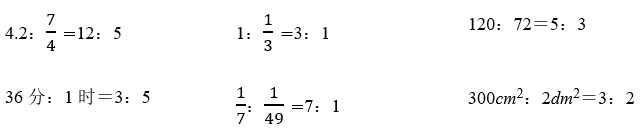
27.
五、应用题
28.解:30÷3=10(千克) 葡萄:10×2=20(千克),30﹣20=10(千克)
苹果:10×5=50(千克),50﹣3=2(千克)
答:葡萄还剩10,苹果已经补充了20千克。
29.解:120:80=3:2
100÷(3+2)=100÷5 =20(mL)
20×2=40(mL) 20×3=60(mL)
答:甲杯应放入60毫升蜂蜜,乙杯中应放入40毫升.
30.解:设犯罪嫌疑人的身高为x厘米,
1:7=24:x x=24×7 x=168
因为刘某的身高为169厘米,最接近168厘米,所以最有可能是罪犯的是刘某.

33.解:巧克力糖:奶糖:水果糖=2:3:5
180÷3=60(千克)
需要水果糖:60×5=300(千克)
水果糖还差:300﹣180=120(千克)
答:水果糖还差120千克。
穿越到手机上阅读
● 编辑 : 娜娜 / 小威 / 沈晓沫
● 发布 : 晓沫 审核 : 朤朤 / 陌语
● 热线 : 158-1078-1908
● 邮箱: 770772751#qq.com (#改为@)





